主要职责
中国科学院贯彻落实党中央关于科技创新的方针政策和决策部署,在履行职责过程中坚持党中央对科技工作的集中统一领导。主要职责是:
一、开展使命导向的自然科学领域基础研究,承担国家重大基础研究、应用基础研究、前沿交叉共性技术研究和引领性颠覆性技术研究任务,打造原始创新策源地。 更多+
院况简介
中国科学院是国家科学技术界最高学术机构、国家科学技术思想库,自然科学基础研究与高技术综合研究的国家战略科技力量。
1949年,伴随着新中国的诞生,中国科学院成立。建院70余年来,中国科学院时刻牢记使命,与科学共进,与祖国同行,以国家富强、人民幸福为己任,人才辈出,硕果累累,为我国科技进步、经济社会发展和国家安全作出了不可替代的重要贡献。 更多+
院领导集体
科技奖励
科技期刊
科技专项
科研进展/ 更多
工作动态/ 更多
工作动态/ 更多
中国科学院学部
中国科学院院部
语音播报
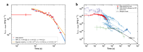
伽马射线暴(简称伽马暴)是宇宙大爆炸以来最为壮观的爆发现象。尽管科学家在过去几十年已探测到数千例伽马暴,但关于伽马暴起源和爆发形成的中心天体(也称中心引擎)存在较多未解之谜。有理论认为,伽马暴的中心引擎可能是黑洞,通过其强大的引力快速吸积周围物质,形成吸积盘并驱动相对论喷流。另一理论则提出,伽马暴的中心引擎可能是一颗高速自转且具有极强磁场的中子星即磁陀星,其磁场强度是地球磁场的数万亿倍,能够释放巨大的磁能为伽马暴供能。而确定伽马暴的中心引擎是哪一种并非易事。科学家需要通过多波段观测和数据分析来寻找线索。例如,一些短伽马暴的X射线余辉光变曲线显示出平台特征,可能暗示自转周期短至毫秒的磁陀星作为中心引擎的可能性。然而,目前缺乏直接的观测证据来验证这些假设。
2023年3月7日,全球众多望远镜探测到一例非常明亮而特殊的伽马暴(编号为GRB 230307A),为伽马暴中心引擎研究带来了新曙光。虽然GRB 230307A主暴的持续时间较长,表面上属于长伽马暴范畴,但红外波段观测显示其伴随着千新星的辐射且相对于其宿主星系有较大位置偏移。这些特征表明,GRB 230307A可能源自致密星的并合。中国科学院研制的“天关”卫星探路者“莱娅”和“怀柔一号”极目卫星捕捉到GRB 230307A的瞬时辐射,揭示了该伽马暴的独特性质,并首次在瞬时辐射阶段发现了磁陀星作为中心引擎的直接证据。
研究分析“莱娅”和极目卫星联合获得的覆盖X射线到伽马射线宽波段数据发现,GRB 230307A瞬时辐射的性质支持该暴起源于致密星的并合。值得注意的是,该暴在伽马射线和X射线波段表现出不同特征。具体而言,X射线辐射的持续时间显著长于伽马射线,且其X射线的能谱与根据伽马射线能谱分布向X射线波段外推的结果存在显著差异。特别是在伽马射线辐射消失后,X射线波段显现出由磁陀星驱动的辐射成分。
“天关”卫星宽视场X射线望远镜载荷科学家、“莱娅”负责人、中国科学院国家天文台正高级工程师凌志兴认为:“‘莱娅’作为‘天关’卫星万星瞳载荷的实验模块,其搭载空间新技术试验卫星发射具有重要意义,为万星瞳载荷提供了在轨验证试验的机会,确保了万星瞳在实际运行中能够达到预期性能。”“天关”卫星首席科学家、国家天文台研究员袁为民评价道:“‘莱娅’获取的科学数据极具科学价值。‘莱娅’捕捉到GRB 230307A的瞬时辐射,揭示了该伽马暴的独特性质。这不仅证实了磁陀星可作为伽马暴的中心引擎,更为研究致密天体的物态性质提供了重要依据。”极目卫星首席科学家、中国科学院高能物理研究所研究员熊少林表示:“这是极目卫星继精确测量千年一遇的最亮伽马暴之后发现的又一个极端明亮的伽马暴。值得一提的是,这个重要伽马暴首先由极目卫星发现并及时向国际天文界通报,从而开启了全球范围内的联合观测。”
12月16日,相关研究成果在线发表在《国家科学评论》(National Science Review)上。研究工作得到国家自然科学基金、国家重点研发计划、中国科学院空间科学战略性先导科技专项等的支持。该研究由国家天文台、高能所、南京大学、紫金山天文台及美国内华达大学等合作完成。

GRB 230307A的X射线光变曲线以及磁陀星作为中心引擎的模型拟合

“莱娅”和极目卫星联合探测到的GRB 230307A的多波段光变曲线和能谱
扫一扫在手机打开当前页
© 1996 - 中国科学院 版权所有 京ICP备05002857号-1
京公网安备110402500047号 网站标识码bm48000002
地址:北京市西城区三里河路52号 邮编:100864
电话: 86 10 68597114(总机) 86 10 68597289(总值班室)








